Задать свой вопрос   *более 50 000 пользователей получили ответ на «Решим всё»

Задача 5825 Дана плотность распределения случайной...

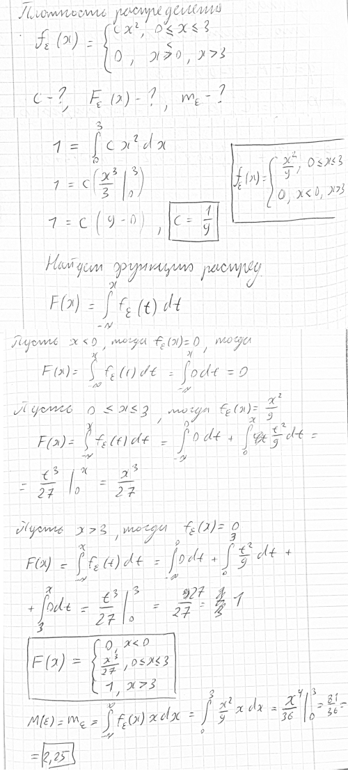
Условие

Дана плотность распределения случайной величины e system{cx^2, 0 меньше или равно x меньше или равно 3; 0, x<0, x>3}

Найти константу c, функцию распределения F(x) и математическое ожидание m.

математика ВУЗ 4177

Решение



Ответ: 1/9, 2,25

Написать комментарий

Меню

Присоединяйся в ВК