Задать свой вопрос
*более 50 000 пользователей получили ответ на «Решим всё»
Задача 58240
...
Условие
5f51fe348b85ef59a67d40b6
02.03.2021 18:01:50
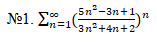
№1. Σⁿ∞=1 (5n²-3n+1)/(3n²+4n+2)ⁿ
математика колледж
273
Решение
602b98c03cfdeb46290c96fb
02.03.2021 18:55:12
★
Написать комментарий
Меню
Решим всё
Найти задачу
Категории
Статьи
Тесты
Архив задач
Присоединяйся в ВК