Задать свой вопрос   *более 50 000 пользователей получили ответ на «Решим всё»

Задача 5814 Знайти всі значення параметра а, при...

Условие

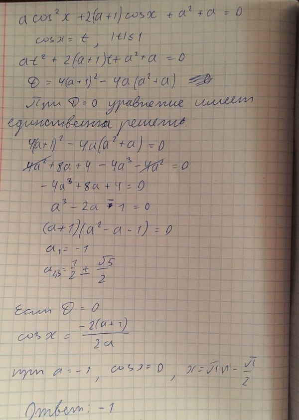
Знайти всі значення параметра а, при кожному з яких рівняння має єдиний розв'язок на вказаному проміжку: [0;П/2]
acos^2 x+2(a+1)cosx+a^2+a=0

математика 10-11 класс 2066

Решение

Думаю так, но я совсем забыл как решать подобные примеры(

Написать комментарий

Меню

Присоединяйся в ВК