Задать свой вопрос   *более 50 000 пользователей получили ответ на «Решим всё»

Задача 5781 В треугольнике АВС проведена медиана ВM...

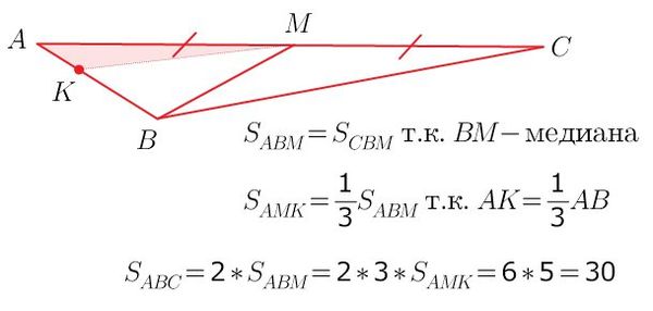
Условие

В треугольнике АВС проведена медиана ВM и на стороне АВ взята точка K так, что АК=(1/3)*AB. Площадь треугольника АMK равна 5. Найдите площадь треугольника АВС.

математика 10-11 класс 57914

Решение

1) Площади треугольников с равными высотами относятся как основания.
2) Площади треугольников с равными основаниями относятся как высоты.
3) Медиана делит треугольник на два равновеликих (равных по площади).


Ответ: 30

Вопросы к решению (2)

Написать комментарий

Меню

Присоединяйся в ВК