Задать свой вопрос   *более 50 000 пользователей получили ответ на «Решим всё»

Задача 5762 Два маятника начинают одновременно...

Условие

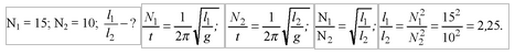
Два маятника начинают одновременно совершать колебания. За время первых 15 колебаний первого маятника второй совершил только 10 колебаний. Определите отношение длин маятников

физика ВУЗ 3775

Решение

Написать комментарий

Меню

Присоединяйся в ВК