Задать свой вопрос   *более 50 000 пользователей получили ответ на «Решим всё»

Задача 5725 Случайная величина X распределена по...

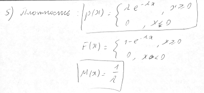
Условие

Случайная величина X распределена по показательному закону с параметром лямбда. Найти плотность распределения вероятностей и математическое ожидание случайной величины U=1-e^(-лямбда*x)

математика ВУЗ 6491

Решение



Ответ: В решение

Написать комментарий

Меню

Присоединяйся в ВК