Задать свой вопрос   *более 50 000 пользователей получили ответ на «Решим всё»

Задача 5724 Совместное распределение случайных...

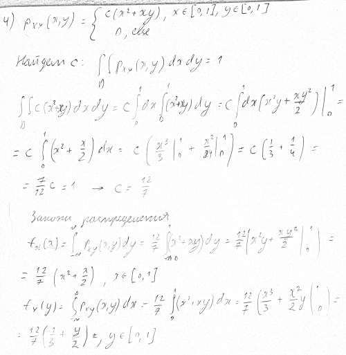
Условие

Совместное распределение случайных величин X и Y задано плотностью распределения вероятностей. Найти константу с, плотности распределения и функции распределения с.в. X и Y, проверить их независимость, mx, my.

математика ВУЗ 5464

Решение



Ответ: В решение

Написать комментарий

Меню

Присоединяйся в ВК