Задать свой вопрос   *более 50 000 пользователей получили ответ на «Решим всё»

Задача 5722 Непрерывная случайная величина X задана...

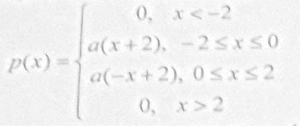
Условие

Непрерывная случайная величина X задана плотностью распределения вероятностей. Найти значение постоянная a, функцию распределения и математическое ожидание.

математика ВУЗ 5293

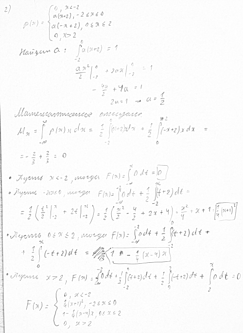
Решение



Ответ: В решение

Написать комментарий

Меню

Присоединяйся в ВК