Задать свой вопрос
*более 50 000 пользователей получили ответ на «Решим всё»
Задача 5710
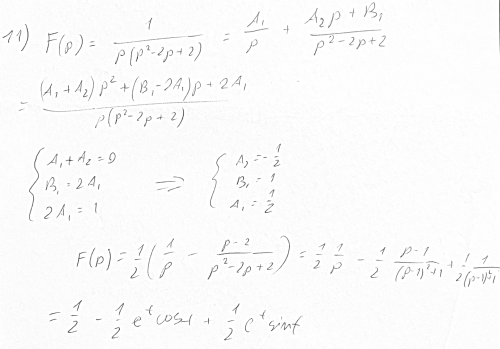
Найти оригинал функции:...
Условие
slava191
23.12.2015
Найти оригинал функции: F(p)=1/p(p^2-2p+2)
математика ВУЗ
4779
Решение
Ответ:
В решение
Написать комментарий
Меню
Решим всё
Найти задачу
Категории
Статьи
Тесты
Архив задач
Присоединяйся в ВК