Задать свой вопрос
*более 50 000 пользователей получили ответ на «Решим всё»
Задача 5709
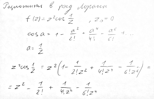
Разложить в ряд Лорана f(z)=z^2cos(1/z),...
Условие
slava191
23.12.2015
Разложить в ряд Лорана f(z)=z^2cos(1/z), z0=0
математика ВУЗ
4370
Решение
Ответ:
В решение
Написать комментарий
Меню
Решим всё
Найти задачу
Категории
Статьи
Тесты
Архив задач
Присоединяйся в ВК