Задать свой вопрос   *более 50 000 пользователей получили ответ на «Решим всё»

Задача 5708 ...

Условие

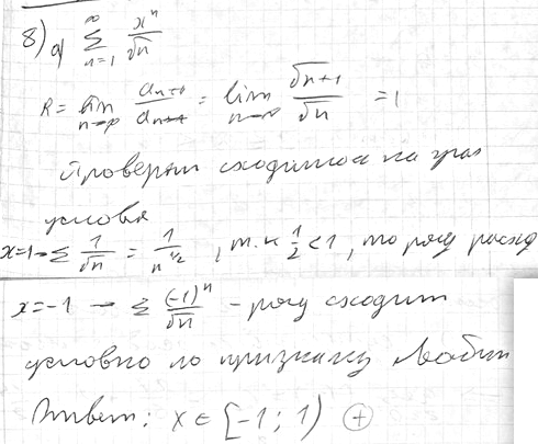
Определить область сходимости ряда и исследовать сходимость на концах интервала сходимости n=1 до бесконечности Σ x^(n)/sqrt(n)

математика ВУЗ 3661

Решение



Ответ: [-1;1)

Написать комментарий

Меню

Присоединяйся в ВК