Задать свой вопрос   *более 50 000 пользователей получили ответ на «Решим всё»

Задача 5707 Решить дифференциальное уравнение...

Условие

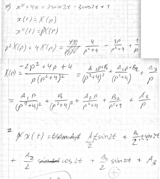
Решить дифференциальное уравнение операторным методом x''+4x = 2sin2t-3cos2t+1, x(0)=x'(0)=0

математика ВУЗ 2509

Решение



Ответ: В решение

Написать комментарий

Меню

Присоединяйся в ВК