Задать свой вопрос
*более 50 000 пользователей получили ответ на «Решим всё»
Задача 5706
...
Условие
slava191
23.12.2015
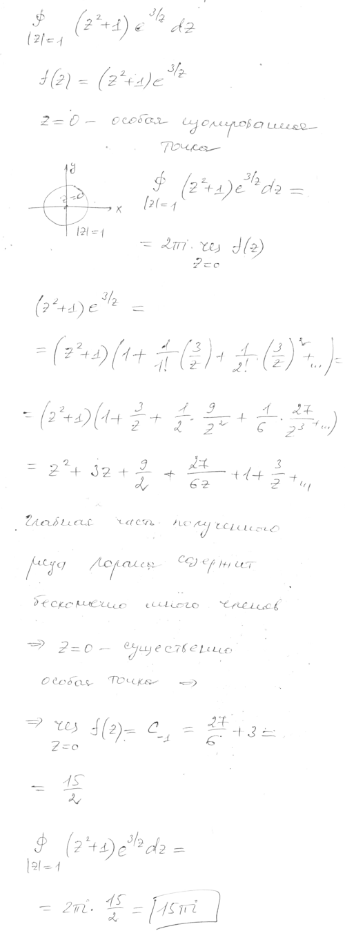
Вычислить интеграл ∫(z^2+1)e^(3/z) dz по контуру |z|=1
математика ВУЗ
3548
Решение
Ответ:
15Pii
Написать комментарий
Меню
Решим всё
Найти задачу
Категории
Статьи
Тесты
Архив задач
Присоединяйся в ВК