Задать свой вопрос
*более 50 000 пользователей получили ответ на «Решим всё»
Задача 5705
...
Условие
slava191
23.12.2015
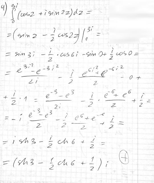
Вычислить интеграл от 0 до 3i ∫(cosz+isin2z)dz по отрезку прямой.
математика ВУЗ
1477
Решение
Ответ:
В решение
Написать комментарий
Меню
Решим всё
Найти задачу
Категории
Статьи
Тесты
Архив задач
Присоединяйся в ВК