Задать свой вопрос   *более 50 000 пользователей получили ответ на «Решим всё»

Задача 5699 Решить уравнение...

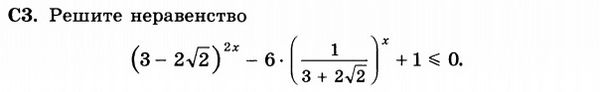
Условие

Решить уравнение (3-2sqrt(2))^(2x)-6*(1/(3+2sqrt(2))^x+1 меньше или равно 0

математика 10-11 класс 2031

Решение

(3-2*2^1/2)^2x-6(3-2*2^1/2)^x+1<=0
(3-2*2^1/2)^x=t
t^2-6t+1<=0 t1=3+2*2^1/2
t2=3+2*2^1/2
x1=1 x2=-1 ответ:-1<=x<=1

Вопросы к решению (1)

Написать комментарий

Меню

Присоединяйся в ВК