Задать свой вопрос   *более 50 000 пользователей получили ответ на «Решим всё»

Задача 56657 Задание 4. Вычислить площадь плоской...

Условие

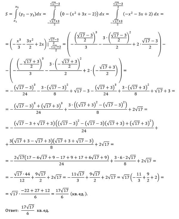
Задание 4. Вычислить площадь плоской фигуры, ограниченной данными линиями.

3. y = x^2 + 3x - 2 и осью 0x.

математика колледж 263

Решение

Написать комментарий

Меню

Присоединяйся в ВК