Задать свой вопрос   *более 50 000 пользователей получили ответ на «Решим всё»

Задача 56625 ...

Условие

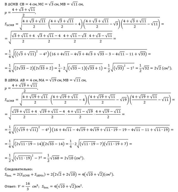
Основанием пирамиды МABCD является квадрат АВCD со стороной АВ = 4 см; точка К лежит на диагонали AC, причем КА = 3KС, МК – высота пирамиды; МС = √3 см. Найдите: 1) объем пирамиды;
2) площадь боковой поверхности пирамиды.

математика 10-11 класс 302

Решение

Написать комментарий

Меню

Присоединяйся в ВК