Задать свой вопрос
*более 50 000 пользователей получили ответ на «Решим всё»
Задача 56573
...
Условие
5fae4102322e6f41f4eb6991
26.12.2020 11:54:28
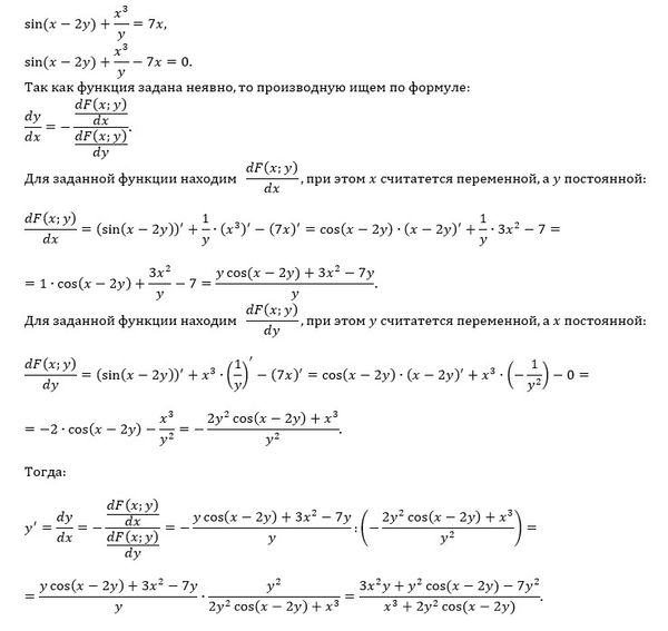
3. Найти производную y'(x) неявной функции
sin(x - 2y) + x³/y = 7x.
математика ВУЗ
525
Решение
5f3eaa23faf909182968dde0
26.12.2020 13:37:52
★
Написать комментарий
Меню
Решим всё
Найти задачу
Категории
Статьи
Тесты
Архив задач
Присоединяйся в ВК