Задать свой вопрос   *более 50 000 пользователей получили ответ на «Решим всё»

Задача 56370 Дано уравнение: 7/(х+1) –...

Условие

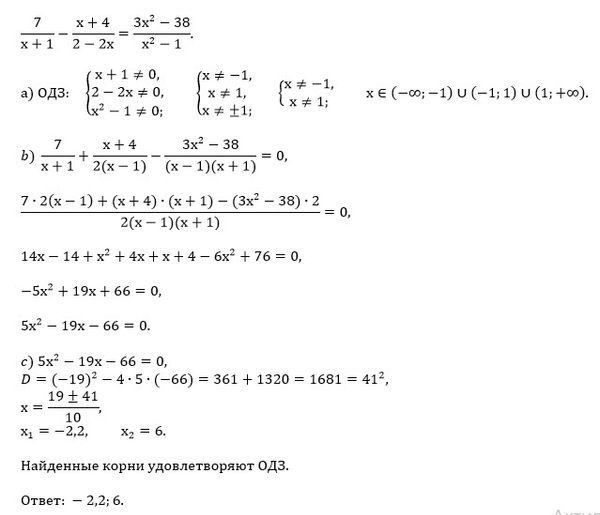
Дано уравнение: 7/(х+1) – (х+4)/(2-2х) = (3х^(2 )-38)/(х^2-1)
a) Укажите область допустимых значений уравнения;
b) Приведите рациональное уравнение к квадратному уравнению;
c) Найдите решения рационального уравнения.

1401

Решение

Написать комментарий

Меню

Присоединяйся в ВК