Задать свой вопрос   *более 50 000 пользователей получили ответ на «Решим всё»

Задача 56337 Через точку Р (0;1) провести прямую так,...

Условие

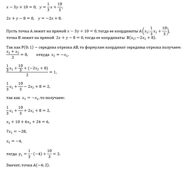
Через точку Р (0;1) провести прямую так, чтобы ее отрезок, заключённый между двумя данными прямыми х-3у+10=0 и 2х+у-8=0, делится в точке Р пополам.

ВУЗ 2388

Решение

Написать комментарий

Меню

Присоединяйся в ВК