Задать свой вопрос   *более 50 000 пользователей получили ответ на «Решим всё»

Задача 5631 1) Вычислите производную...

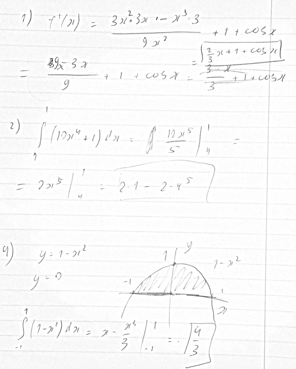
Условие

1) Вычислите производную f(x)=x^3/3x+x+sinx

2) Вычислите интеграл (10x^4+1)dx

4) Вычислите площадь фигуры ограниченной линиями y=1-x^2 и y=0

математика ВУЗ 1834

Решение

Написать комментарий

Меню

Присоединяйся в ВК