Задать свой вопрос
*более 50 000 пользователей получили ответ на «Решим всё»
Задача 5630
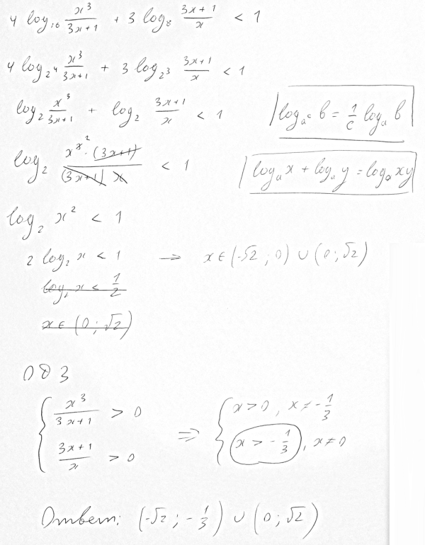
Решите неравенство: 4log(16)(x^3/(3x+1))...
Условие
slava191
18.12.2015
Решите неравенство: 4log(16)(x^3/(3x+1)) + 3log(8)((3x+1)/x) < 1
математика 10-11 класс
5071
Решение
Ответ:
В решение
Написать комментарий
Меню
Решим всё
Найти задачу
Категории
Статьи
Тесты
Архив задач
Присоединяйся в ВК