Задать свой вопрос   *более 50 000 пользователей получили ответ на «Решим всё»

Задача 5512 Из корзины, содержащей двадцать...

Условие

Из корзины, содержащей двадцать пронумерованных шаров выбирают на удачу 5 шаров. Определить число элементов пространства элементарных событий этого опыта, если:
шары выбираются последовательно один за другим с возвращением после каждого извлечения;
шары выбирают один за другим, не возвращая;
выбирают сразу 5 шаров.

математика ВУЗ 1702

Решение

Число способов извлечь первый шар из корзины равно 20. Так как извлеченный шар вернулся в корзину, то число способов извлечь второй шар также равно 20 и т.д. Тогда число способов извлечь 5 шаров в этом случае равно 20 · 20 · 20 · 20 · 20 = 3200000.
Число способов извлечь первый шар из корзины равно 20. Так как извлеченный шар после извлечения не вернулся в корзину, то число способов извлечь второй шар стало равно 19 и т.д. Тогда число способов извлечь 5 шаров без возвращения равно 20 · 19 · 18 · 17 · 16 = A(5,20)
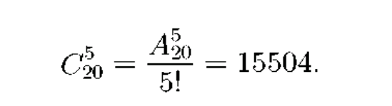
Число способов извлечь из корзины 5 шаров сразу равно числу сочетаний из 20 по 5:


Ответ: В решение

Написать комментарий

Меню

Присоединяйся в ВК