Задать свой вопрос   *более 50 000 пользователей получили ответ на «Решим всё»

Задача 5506 ...

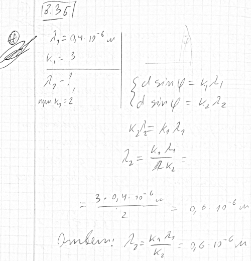
Условие

При освещении дифракционной решетки белым светом спектры второго и третьего порядков отчасти перекрывают друг друга. На какую длину волны в спектре второго порядка накладывается фиолетовая граница (λ=0,4 мкм) спектра третьего порядка?

физика ВУЗ 55435

Решение



Ответ: В решение

Написать комментарий

Меню

Присоединяйся в ВК