Задать свой вопрос
*более 50 000 пользователей получили ответ на «Решим всё»
Задача 5499
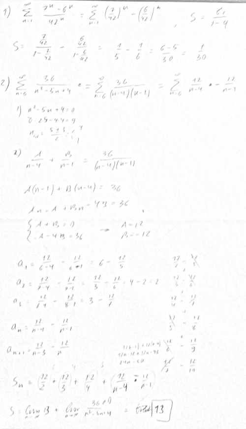
Найти сумму числового ряда: а)...
Условие
slava191
07.12.2015
Найти сумму числового ряда:
а) (7^(n)-6^(n))/42^(n)
б) 36/(n^2-5n+4)
математика ВУЗ
1812
Решение
Ответ:
В решение
Написать комментарий
Меню
Решим всё
Найти задачу
Категории
Статьи
Тесты
Архив задач
Присоединяйся в ВК