Задать свой вопрос   *более 50 000 пользователей получили ответ на «Решим всё»

Задача 5498 Восстановить аналитическую функцию по...

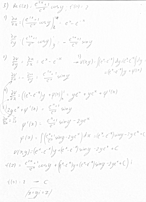
Условие

Восстановить аналитическую функцию по заданной её действительной или мнимаой части: Re f(z)=((e^(2x)+1)/e^x)cosy; f(0)=2

математика ВУЗ 2928

Решение

Задание не доделано, но думаю Вы сами догадаетесь как его доделать

Ответ: В решение

Написать комментарий

Меню

Присоединяйся в ВК