Задать свой вопрос
*более 50 000 пользователей получили ответ на «Решим всё»
Задача 5496
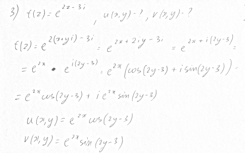
Найти мнимую и действительную части...
Условие
slava191
07.12.2015
Найти мнимую и действительную части функции f(z)=e^(2z-3i)
математика 10-11 класс
1711
Решение
Ответ:
В решение
Написать комментарий
Меню
Решим всё
Найти задачу
Категории
Статьи
Тесты
Архив задач
Присоединяйся в ВК