Задать свой вопрос   *более 50 000 пользователей получили ответ на «Решим всё»

Задача 5495 Извлечь корень соответсвующей степени из...

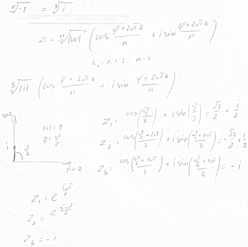
Условие

Извлечь корень соответсвующей степени из данного числа: 6 корней из -1
p.s. корень кубический из i мнимой еденицы

математика ВУЗ 1486

Решение



Ответ: В решение

Написать комментарий

Меню

Присоединяйся в ВК