Задать свой вопрос
*более 50 000 пользователей получили ответ на «Решим всё»
Задача 5494
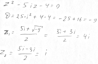
Решить уравнение z^2-5iz-4=0...
Условие
slava191
07.12.2015
Решить уравнение z^2-5iz-4=0
математика ВУЗ
3028
Решение
Ответ:
В решение
Написать комментарий
Меню
Решим всё
Найти задачу
Категории
Статьи
Тесты
Архив задач
Присоединяйся в ВК