Задать свой вопрос   *более 50 000 пользователей получили ответ на «Решим всё»

Задача 5487 Решите неравенство...

Условие

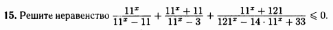
Решите неравенство 11^x/(11^x-11)+(11^x+11)/(11^x-3)+(11^x+121)/(121^x-14*11^x+33) меньше или равно 0

математика 10-11 класс 8495

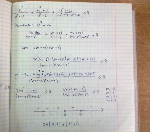
Решение

Вопросы к решению (2)
Ошибки в решение (2)

Написать комментарий

Меню

Присоединяйся в ВК