Задать свой вопрос   *более 50 000 пользователей получили ответ на «Решим всё»

Задача 5450 а) Решить уравнение...

Условие

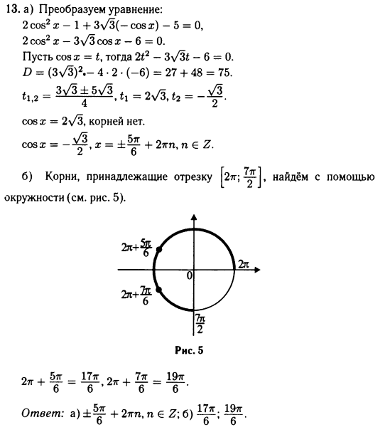
а) Решить уравнение cos2x+3sqrt(3)sin(3Pi/2+x)-5=0
б) Укажите корни этого уравнения, принадлежащие отрезку [2Pi; 7Pi/2]

математика 10-11 класс 13246

Решение



Ответ: В решение

Вопросы к решению (1)

Написать комментарий

Меню

Присоединяйся в ВК