Задать свой вопрос
*более 50 000 пользователей получили ответ на «Решим всё»
Задача 53848
...
Условие
5f54df62356816184059ff63
05.10.2020 07:20:59
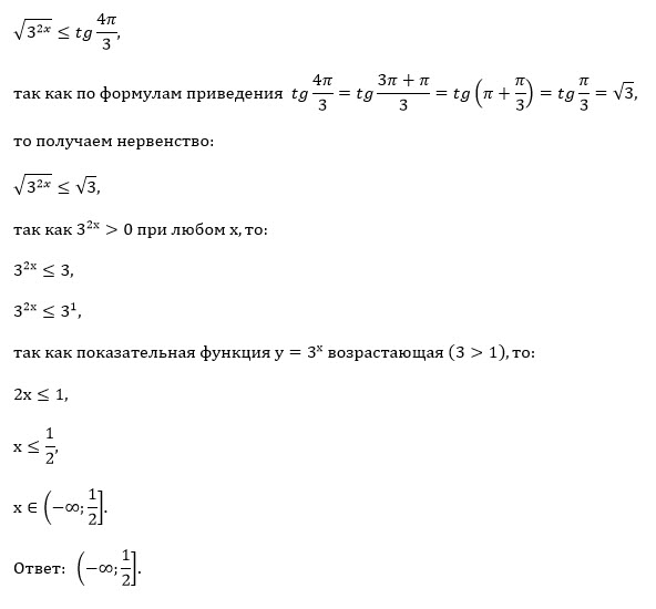
Решить неравенство sqrt(3^(2x)) меньше или равно tg(4π/3)
10-11 класс
221
Решение
5f3eaa23faf909182968dde0
05.10.2020 11:46:21
★
Написать комментарий
Меню
Решим всё
Найти задачу
Категории
Статьи
Тесты
Архив задач
Присоединяйся в ВК