Задать свой вопрос
*более 50 000 пользователей получили ответ на «Решим всё»
Задача 53720
Найти производную функцию от...
Условие
5f724a2c5e684a139991de0b
28.09.2020 23:40:25
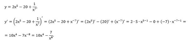
Найти производную функцию от y=2x^5-20+1/x^7
203
Решение
5f3eaa23faf909182968dde0
29.09.2020 06:48:19
★
Написать комментарий
Меню
Решим всё
Найти задачу
Категории
Статьи
Тесты
Архив задач
Присоединяйся в ВК