Задать свой вопрос   *более 50 000 пользователей получили ответ на «Решим всё»

Задача 537 В прямоугольнике ABCD известны стороны...

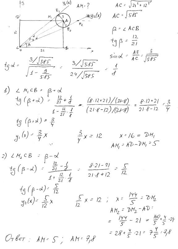
Условие

В прямоугольнике ABCD известны стороны AB=12 и BC=21. Через вершину C проведена прямая, касающаяся окружности радиуса 3 с центром в точке A и пересекающая прямую AD в точке M. Найдите AM.

математика 10-11 класс 5194

Решение



Ответ: 5 и 7.8

Написать комментарий

Меню

Присоединяйся в ВК