Задать свой вопрос   *более 50 000 пользователей получили ответ на «Решим всё»

Задача 536 Окружности радиусов 2 и 3 с центрами O1...

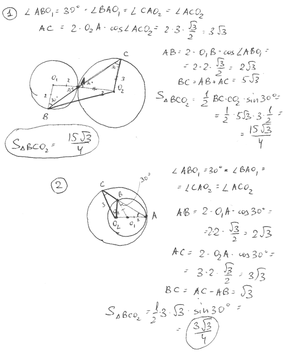
Условие

Окружности радиусов 2 и 3 с центрами O1 и O2 соответственно касаются в точке A. Прямая, проходящая через точку A, вторично пересекает меньшую окружность в точке B, а большую — в точке C. Найдите площадь треугольника BCO2, если угол ABO1 равен 30°.

математика 10-11 класс 9886

Решение



Ответ: 15*sqrt(3)/4 и 3*sqrt(3)/4

Ошибки в решение (1)

Написать комментарий

Меню

Присоединяйся в ВК