Задать свой вопрос   *более 50 000 пользователей получили ответ на «Решим всё»

Задача 5322 ЭДС e батареи равна 20В. Сопротивление...

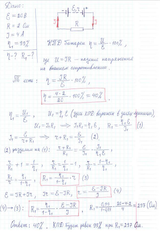
Условие

ЭДС e батареи равна 20В. Сопротивление R внешней цепи равно 2 Ом, сила тока I=4 A. Найдите КПД батареи. При каком значении внешнего сопротивления R КПД будет равен 99%?

физика ВУЗ 9346

Решение



Ответ: 40%; R=297 Ом

Написать комментарий

Меню

Присоединяйся в ВК