Задать свой вопрос
*более 50 000 пользователей получили ответ на «Решим всё»
Задача 53204
...
Условие
5f57530d94ec612a7a933932
08.09.2020 12:49:46
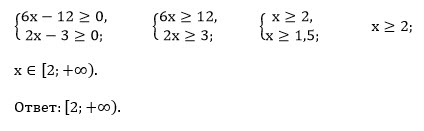
{6x-12 ≥ 0
{2x-3 ≥ 0
975
Решение
5f3eaa23faf909182968dde0
08.09.2020 14:15:58
★
Написать комментарий
Меню
Решим всё
Найти задачу
Категории
Статьи
Тесты
Архив задач
Присоединяйся в ВК