Задать свой вопрос   *более 50 000 пользователей получили ответ на «Решим всё»

Задача 5310 Найдите наибольшую Lmax, наименьшую Lmin...

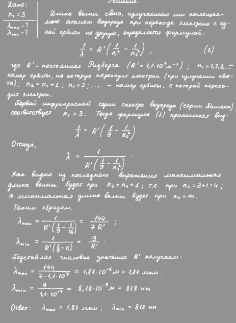
Условие

Найдите наибольшую Lmax, наименьшую Lmin длины волн в первой инфракрасной серии спектра водорода (серии Пашена).

физика ВУЗ 8646

Решение



Ответ: Lmax=1,87 мнм ; Lmin=818 нм

Написать комментарий

Меню

Присоединяйся в ВК