Задать свой вопрос   *более 50 000 пользователей получили ответ на «Решим всё»

Задача 531 Найдите все значения а, при каждом из...

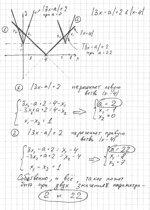
Условие

Найдите все значения а, при каждом из которых решение неравенства |3x-a|+2 <= |x-4| образует отрезок длины 1

математика 10-11 класс 9963

Решение



Ответ: 2 и 22

Написать комментарий

Категория

Меню

Присоединяйся в ВК