Задать свой вопрос   *более 50 000 пользователей получили ответ на «Решим всё»

Задача 53038 Решить...

Условие

Решить неравенство

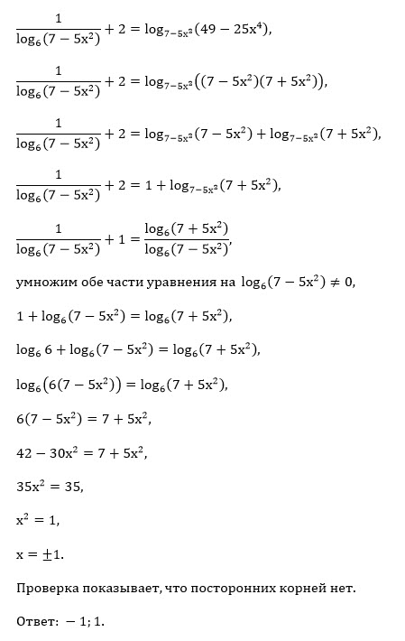
[m]\frac{1}{\log_6(7-5x^2)}+2 = \log_{7-5x^2}(49-25x^4)[/m]

математика 10-11 класс 13081

Все решения

ОДЗ:[m]\left\{\begin{matrix} 7-5x^2>0\\ log_{6}(7-5x^2)\neq 0 \\ 49-5x^4>0 \end{matrix}\right.[/m][m]\left\{\begin{matrix} x^2<\frac{7}{5}\\ 7-5x^2\neq 1 \\ (7-5x^2)(7+5x^2)>0 \end{matrix}\right.[/m][m]\left\{\begin{matrix} -\sqrt{\frac{7}{5}}<x<\sqrt{\frac{7}{5}}\\ x\neq \sqrt{\frac{6}{5}} \\ 7+5x^2>0 \Rightarrow 7-5x^2>0\end{matrix}\right.[/m]

x ∈ ([m]-\sqrt{\frac{7}{5}};-\sqrt{\frac{6}{5}})\cup(-\sqrt{\frac{6}{5}};\sqrt{\frac{6}{5}})\cup(\sqrt{\frac{6}{5}}; \sqrt{\frac{7}{5}})[/m]

По формуле перехода к другому основанию:

[m]\frac{1}{log_{6}(7-5x^2)}=log_{7-5x^2}6[/m]

По свойству логарифма произведения:
[m]log_{7-5x^2}(49-25x^4)=log_{7-5x^2}(7-5x^2)(7+5x^2)=[/m]
[m]=log_{7-5x^2}(7-5x^2)+log_{7-5x^2}(7+5x^2)=1+log_{7-5x^2}(7+5x^2)[/m]

Уравнение принимает вид:

[m]log_{7-5x^2}6+2=1+log_{7-5x^2}(7+5x^2)[/m]

[m]log_{7-5x^2}6+1=log_{7-5x^2}(7+5x^2)[/m]

Заменим

[m]1=log_{7-5x^2}(7-5x^2)[/m]

[m]log_{7-5x^2}6+log_{7-5x^2}(7-5x^2)=log_{7-5x^2}(7+5x^2)[/m]

Применяем свойство логарифма произведения и заменим сумму логарифмов логарифмом произведения:

[m]log_{7-5x^2}6\cdot(7-5x^2)=log_{7-5x^2}(7+5x^2)[/m]

[m]6\cdot(7-5x^2)=7+5x^2[/m]

[m]42-30x^2=7+5x^2[/m]

[m]35=35x^2[/m]

[m]x^2=1[/m]

[m]x=\pm[/m]

Корни входят в ОДЗ

О т в е т. ± 1

Написать комментарий

Категория

Меню

Присоединяйся в ВК