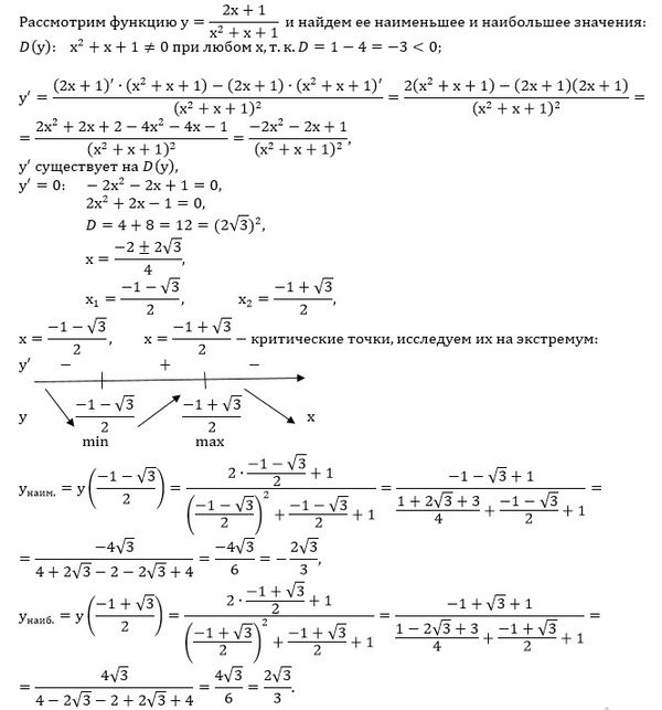
[m]y=\frac{2x+1}{x^2+x+1}[/m]
x- любое действительное число, так как x^2+x+1>0 при любом х:
D=1-4 <0
Тогда умножим обе части равенства на x^2+x+1:
x^2y+xy+y=2x+1
yx^2+(y-2)x+y-1=0
Квадратное уравнение имеет решения при D ≥ 0
D=(y-2)^2-4y(y-1)=y^2-4y+4-4y^2+4y=-3y^2+4
-3y^2+4 ≥ 0 ⇒ y^2 ≤ [m]\frac{4}{3} [/m] ⇒ |y| ≤ [m]\frac{2}{\sqrt{3}}[/m] ⇒
[m]-\frac{2}{\sqrt{3}}[/m] ≤ y ≤ [m]\frac{2}{\sqrt{3}}[/m]
[m]-\frac{2\sqrt{3}}{3}[/m] ≤ y ≤ [m] \frac{2\sqrt{3}}{3}[/m]
Наименьшее значение y:[m]-\frac{2\sqrt{3}}{3}[/m]
Наибольшее значение y:[m]\frac{2\sqrt{3}}{3}[/m]
