Задать свой вопрос   *более 50 000 пользователей получили ответ на «Решим всё»

Задача 53025 [m] \left\{ \begin{array}{l} \frac{xy +...

Условие

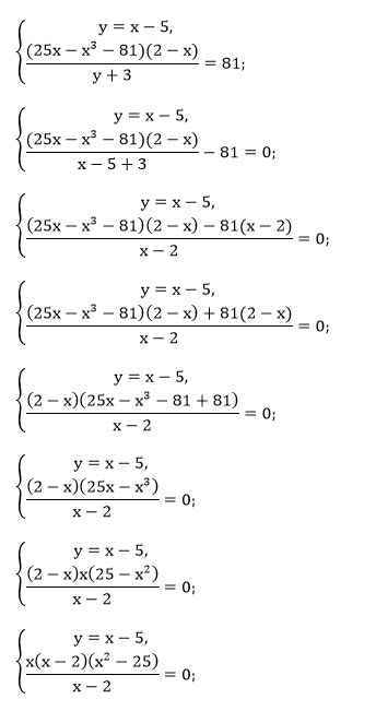
[m]
\left\{
\begin{array}{l}
\frac{xy + 7x}{y + 5} = x + 2, \\
\\
0,5 \log_3 \left( \frac{25x - x^3 - 81}{y + 3} \right) = 2 - \log_9(2 - x).
\end{array}
\right.
[/m]

математика 10-11 класс 859

Решение

Написать комментарий

Меню

Присоединяйся в ВК