Задать свой вопрос
*более 50 000 пользователей получили ответ на «Решим всё»
Задача 53000
...
Условие
vk45391524
2020-08-08 14:34:07
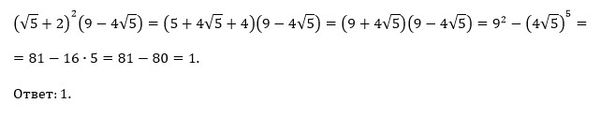
Найдите значение выражения
(√5 + 2)^2 ( 9 - 4√5 )
математика 10-11 класс
591
Решение
u821511235
2020-08-08 15:14:02
★
Написать комментарий
Меню
Решим всё
Найти задачу
Категории
Статьи
Тесты
Архив задач
Присоединяйся в ВК