Задать свой вопрос
*более 50 000 пользователей получили ответ на «Решим всё»
Задача 52954
...
Условие
slava191
2020-08-02 16:59:43
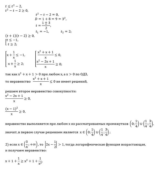
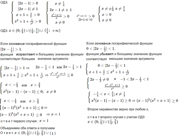
log(|2x-(1/2)|)(x+1+(1/x)) ≥ log(|2x-(1/2)|)(x^2+1+(1/x^2))
математика 10-11 класс
788
Решение
sova
2020-08-02 19:00:06
★
Все решения
u821511235
2020-08-02 20:39:04
Написать комментарий
Меню
Решим всё
Найти задачу
Категории
Статьи
Тесты
Архив задач
Присоединяйся в ВК