Задать свой вопрос
*более 50 000 пользователей получили ответ на «Решим всё»
Задача 52918
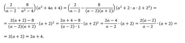
Упростить выражение (2/(a-2) - 8/(a^2 -...
Условие
vk45391524
2020-07-26 17:35:13
Упростить выражение (2/(a-2) - 8/(a^2 - 4))(a^2 + 4a + 4)
математика 8-9 класс
803
Решение
u821511235
2020-07-26 18:02:34
★
Написать комментарий
Меню
Решим всё
Найти задачу
Категории
Статьи
Тесты
Архив задач
Присоединяйся в ВК