Задать свой вопрос   *более 50 000 пользователей получили ответ на «Решим всё»

Задача 52914 9.13. В тетраэдре ABCD все ребра равны...

Условие

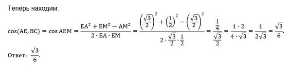
9.13. В тетраэдре ABCD все ребра равны 1, точка Е — середина ребра CD (рис. 9.15). Найдите косинус угла между прямыми АЕ и ВС.

9.14. В правильной четырехугольной пирамиде SABCD все ребра равны 1, точка Е — середина ребра SC (рис. 9.16). Найдите тангенс угла между прямыми SA и BE.

математика 10-11 класс 14466

Все решения

Написать комментарий

Меню

Присоединяйся в ВК