Задать свой вопрос
*более 50 000 пользователей получили ответ на «Решим всё»
Задача 52908
...
Условие
89641053108
2020-07-24 05:06:32
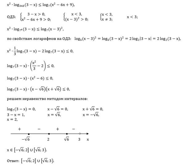
x^(2)log_(343)(3-х) ≤ log_(7)(x^(2)-6x+9)
математика 10-11 класс
1844
Все решения
u821511235
2020-07-24 07:00:19
Написать комментарий
Меню
Решим всё
Найти задачу
Категории
Статьи
Тесты
Архив задач
Присоединяйся в ВК