Задать свой вопрос
*более 50 000 пользователей получили ответ на «Решим всё»
Задача 52906
...
Условие
slava191
2020-07-23 23:57:59
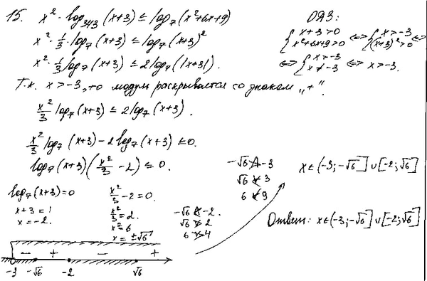
x^2*log(343)(x+3) ≤ log7(x^2+6x+9)
математика 10-11 класс
34804
Решение
Написать комментарий
Категория
Профильный ЕГЭ по Математике 2020
Задание 15 (неравенство с логарифмом)
Меню
Решим всё
Найти задачу
Категории
Статьи
Тесты
Архив задач
Присоединяйся в ВК