Задать свой вопрос   *более 50 000 пользователей получили ответ на «Решим всё»

Задача 52883 log^2_2 (16/x) = 5 + log_2 (8/x^2) ....

Условие

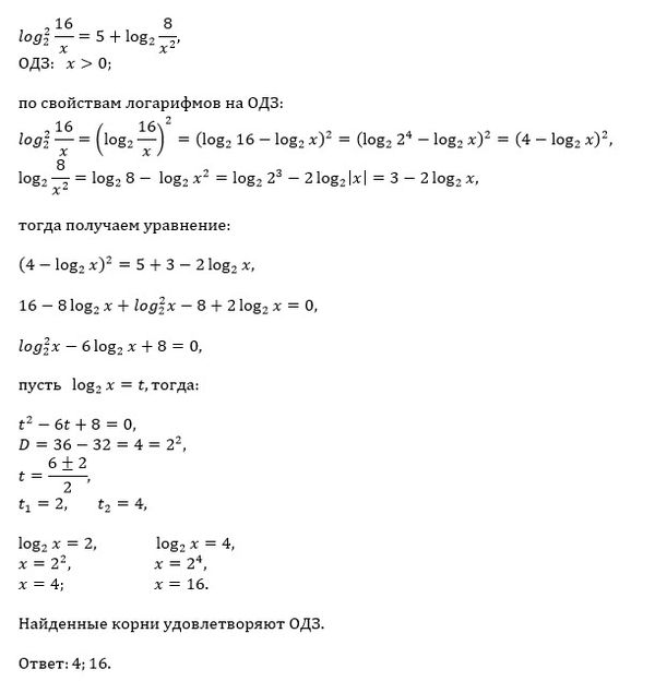
log^2_2 (16/x) = 5 + log_2 (8/x^2) .

предмет не задан 1660

Все решения

ОДЗ:
{[m]\frac{16}{x}>0[/m] ⇒ x >0
{[m]\frac{8}{x^2}>0[/m] ⇒ x ≠ 0

ОДЗ: [red]х>0[/red]

[i]По свойству логарифма частного и логарифма степени[/i]:

[m]log_{2}\frac{8}{x^2}=log_{2}8-log_{2}x^2=3-2log_{2}|x|=[/m]

(так как согласно ОДЗ: [red]х>0[/red][m])=3-2log_{2}x[/m]

[m]log_{2}\frac{16}{x}=log_{2}16-log_{2}x=4-log_{2}x[/m]
тогда

[m]log^2_{2}\frac{16}{x}=(4-log_{2}x)^2=16-8log_{2}x+log^2_{2}x[/m]

Уравнение принимает вид:

[m]16-8log_{2}x+log^2_{2}x=5+3-2log_{2}x[/m]

[m]log^2_{2}x-6log_{2}x+8=0[/m]

Квадратное уравнение:
D=36-32=4

[m]log_{2}x=2[/m] или [m]log_{2}x=4[/m]

[m]x=2^2[/m] или [m]x=2^4[/m]

[m]x=4[/m] или [m]x=16[/m] оба корня удовл ОДЗ

О т в е т. 4; 16

Написать комментарий

Меню

Присоединяйся в ВК