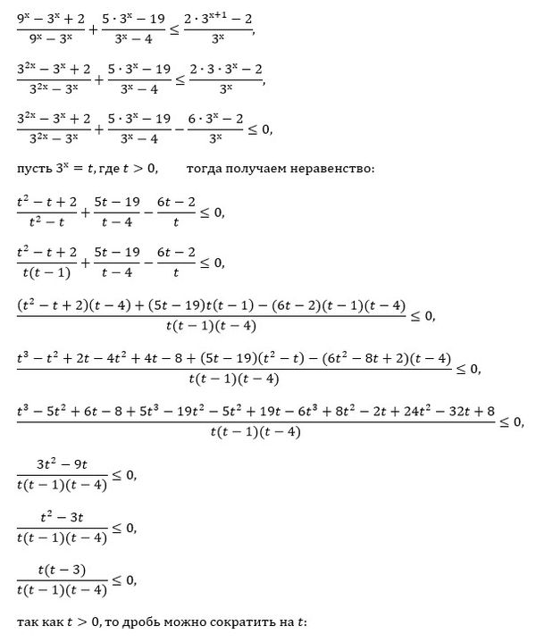
[block](9^x-3^x+2)/(9^x-3^x)+(5*3^x-19)/(3^x-4) ⩽ (2*3^(x+1)-2)/(3^x)[/block]
9^(x)=(3^2)^(x)=(3^(x))^2
3^(x+1)=3^(x)*3^(1)=3*3^(x)
[i]Замена переменной:[/i]
3^(x)=t
Так как [i]показательная функция неотрицательна[/i] при любом х
⇒ [b]t>0 [/b]
9^(x)=t^2
Неравенство принимает вид:
[m]\frac{t^2-t-2}{t^2-t}+\frac{5t-19}{t-4}\leq \frac{6t-2}{t}[/m]
[m]\frac{t^2-t-2}{t(t-1)}-\frac{6t-2}{t}+\frac{5t-19}{t-4}\leq 0[/m]
Приводим к общему знаменателю первые две дроби:
[m]\frac{t^2-t-2-(6t-2)(t-1)}{t(t-1)}+\frac{5t-19}{t-4}\leq 0[/m]
[m]\frac{t^2-t-2-6t^2+2t+6t-2}{t(t-1)}+\frac{5t-19}{t-4}\leq 0[/m]
[m]\frac{-5t^2+7t}{t(t-1)}+\frac{5t-19}{t-4}\leq 0[/m]
Приводим к общему знаменателю:
[m]\frac{(-5t^2+7t)(t-4)+(5t-19)(t^2-t)}{t(t-1)(t-4)}\leq 0[/m]
[m]\frac{-5t^3+7t^2+20t^2-28t+5t^3-19t^2-5t^2+19t}{t(t-1)(t-4)}\leq 0[/m]
[m]\frac{3t^2-9t}{t(t-1)(t-4)}\leq 0[/m]
[m]\frac{3t(t-3)}{t(t-1)(t-4)}\leq 0[/m]
так как t > 0 ⇒ t ≠ 0
[m]\frac{t-3}{(t-1)(t-4)}\leq 0[/m]
Решаем методом интервалов:
[i]нули числителя [/i]: t=3
отмечаем на числовой прямой закрашенным кружком ( квадратные скобки на рисунке)
[i]нули знаменателя [/i]: t=1; t=4
отмечаем на числовой прямой пустым кружком (круглые скобки на рисунке):
(0) __-__ (1) _____+____________ [3] __-__ (4) __+____
⇒ 0< t < 1 или 3 ≤ t <4
Обратная замена:
0< 3^(x) < 1 или 3 ≤ 3^(x) <4
Показательная функция с основанием 3 (3>1) возрастает, [i]большему[/i] значению функции соответствует [i]большее[/i] значение аргумента.
Знаки неравенства сохраняются:
[m]\left\{\begin{matrix} 3^{x}<1\Rightarrow 3^{x}<3^{0}\Rightarrow x <0\\ 3^{x}>0\Rightarrow x\in (-\infty ;\infty) \end{matrix}\right.[/m] или[m]1\leq x < log_{3}4[/m]
О т в е т. (- ∞ ;0) U[1;log_(3)4)
